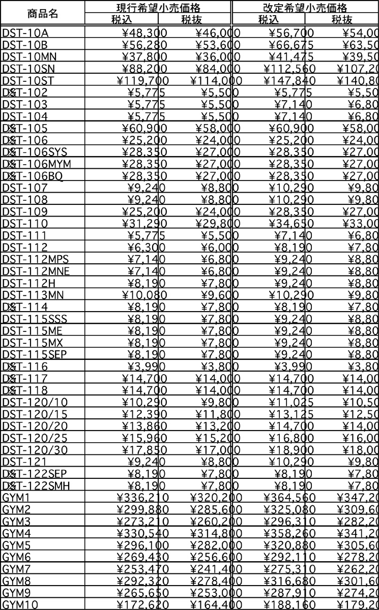
ニッシャ、DREAM/SQUARE製品価格改定を実施

2006年04月19日
  • Twitter
  • FaceBook
  • LINE
 

この記事の画像一覧

関連リンク